仕様・構造
SPEC
いつか来る、地震に備える
2000年に施行された新しい耐震基準の住宅は、震度6強クラスの大きな地震でも、1回では倒壊しないように計算されています。
しかし、この耐震基準は、本震から住宅を守ることを想定しており、その後の余震までは考慮されていません。もし本震で柱や壁などの構造躯体がダメージを受けていれば、それに続く余震の規模や回数によっては倒壊する可能性も高まります。また、屋根、外壁、窓ガラス、内装などの被害状況によっては、生活できなくなることも考えられます。
-
2016年から30年間に震度6弱以上の揺れに見舞われる確率

-
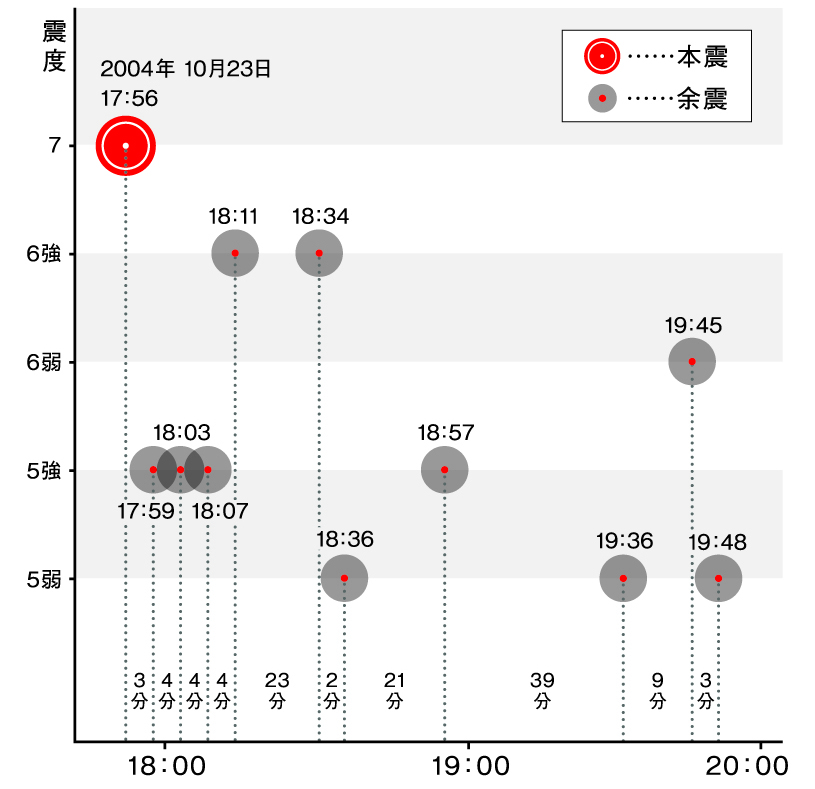
新潟県中越大震災(M6.8)の余震回数

阪神・淡路大震災は当時、発生の予想確率は0.02%から8%でした。
出典元:地震調査研究推進本部事務局発表資料 / 気象庁発表資料
たとえ住まいは無事でも修繕にお金がかかってしまっては大変です
地震の揺れによる住まいの損傷リスクを軽減します。

これからの家を守る、最新の地震対策
ご家族が暮らす大切な住まいを守る地震対策は、耐震だけで十分でしょうか。住まいの耐震性をさらに高めることは重要です。しかし、本震に続く余震のこと、また地震後の暮らしのことも考えると、耐震だけで安心だとは言い切れません。
そこで私たちがご提案したいのは「制震」。
住友ゴム株式会社の住宅用制震ダンパーMIRAIE[ミライエ]は、住まいの持つ耐震性を損なうことなく、新たな性能を加え、本震だけでなく、繰り返し来る余震にも強い、より安心・安全な住まいづくりをお手伝いします。

MIRAIE[ミライエ]の特徴



